Kategoria Matematyka

Rozwiązywanie równań przypomina odkrywanie zagadek – czasami mogą wydawać się skomplikowane, lecz wy... 
Teoria pierścieni stanowi niezwykle fascynujący fragment matematyki, który bez wątpienia rozweseli n... 
Logarytmy stanowią jeden z tych elementów matematyki, które potrafią przyprawić o ból głowy, jednak ... 
Matematyka, choć często przywołuje na myśl nudne wykłady oraz niekończące się równania, skrywa w sob... 
Wartość bezwzględna działa jak matematyczny superbohater, zawsze stawiając na prostotę i jasność! Wy... 
Jeżeli kiedykolwiek gubiłeś się w gąszczu równań trygonometrycznych, nie martw się! Podstawowe wzory... 
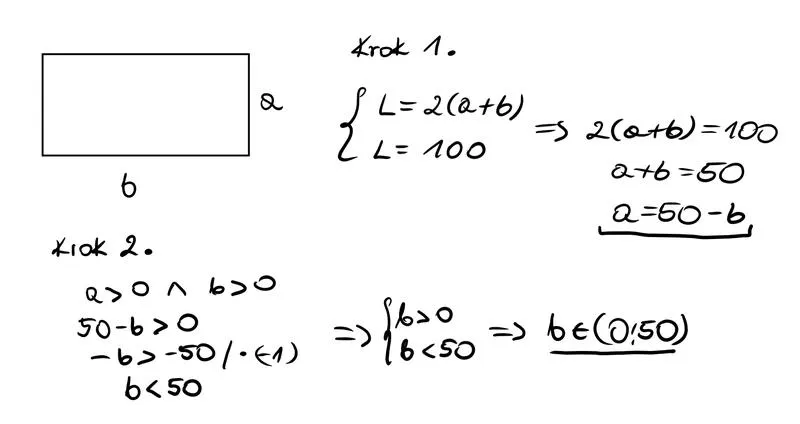
Matematyka, uznawana powszechnie za królową nauk, skrywa w sobie wiele fascynujących tajemnic. Wśród... 
Witaj w fascynującym świecie równań sprzecznych! Zanim jednak zaczniemy odkrywać ich intrygujące taj... 
Obliczanie wysokości w trójkącie prostokątnym przypomina łatwe jak bułka z masłem zadanie. Mimo to, ...