Równania wielomianowe to temat, który na pierwszy rzut oka może budzić wątpliwości, ale w miarę zagłębiania się w zagadnienie zyskują swoje uroki. W skrócie, równania te przedstawia się w postaci \(W(x)=0\), gdzie \(W(x)\) oznacza wielomian. Zajmując się tym tematem, najpierw spotykamy równania liniowe i kwadratowe, które z reguły nie nastręczają dużych trudności. Dopiero w momencie, gdy wkraczamy w świat wielomianów trzeciego stopnia i wyższych, dostrzegamy bogactwo metod rozwiązywania tych równań, które możemy zastosować.
- Równania wielomianowe mają formę \(W(x)=0\), a pierwiastkiem jest wartość, dla której wielomian przyjmuje wartość zero.
- Istnieje wiele metod rozwiązywania równań trzeciego stopnia, takich jak wyłączanie wspólnego czynnika, grupowanie oraz stosowanie wzorów skróconego mnożenia.
- Wyznaczanie pierwiastków można realizować poprzez próbę różnych wartości, a podstawowe metody ułatwiają rozwiązanie złożonych równań.
- Rozwiązywanie równań kwadratowych, które powstają w toku redukcji równania trzeciego stopnia, można polegać na stosowaniu delty.
- Wzory Viète'a pomagają w znalezieniu informacji o pierwiastkach, co jest przydatne w bardziej skomplikowanych zadaniach.
- Implementacja wzorów skróconego mnożenia przyspiesza proces rozwiązywania równań oraz zwiększa pewność siebie w obliczeniach.
- Każde równanie trzeciego stopnia ma przynajmniej jeden pierwiastek rzeczywisty, co gwarantuje istnienie rozwiązania.
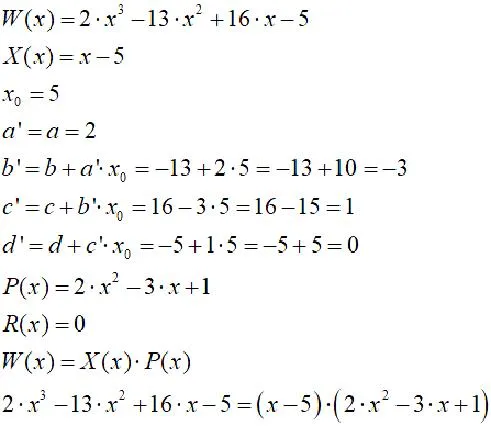
Przed przystąpieniem do obliczeń, warto zastanowić się nad tym, co dokładnie oznacza termin „pierwiastek wielomianu”. Mianowicie, to wartość, dla której dany wielomian przyjmuje wartość równą 0. Rozważmy przykład równania \(W(x)=x^3-125\). Możemy łatwo sprawdzić, że \(x=5\) jest pierwiastkiem tego równania, ponieważ \(W(5)=0\). To odkrycie wydaje się być wyjątkowo satysfakcjonujące, prawda?
Równania wielomianowe wyższych stopni stawiają przed nami wyzwania
W miarę jak zagłębiamy się w temat, natrafiamy na trudniejsze równania, które mogą przybierać formy, takie jak \(2x^3+4x^2-3x-6=0\). Dzięki świadomości, że nie każde równanie można rozwiązać w tradycyjny sposób, mogą pojawić się obawy. Z drugiej strony, dostępnych jest wiele metod, które pomagają nam zmierzyć się z tym wyzwaniem. Wyłączanie wspólnego czynnika przed nawias, grupowanie, wzory skróconego mnożenia czy zastosowanie podstawienia to tylko niektóre strategie. Każda z nich ma swoje miejsce i w zależności od kontekstu, może okazać się kluczowa.

Podsumowując, równania wielomianowe przyciągają uwagę jako fascynujący świat matematycznych wyzwań. Skoro już dotykamy tego tematu to poznaj sprawdzone metody rozwiązywania równań wielomianowych. Odkrywanie różnych metod rozwiązywania równań, eksperymentowanie z różnymi typami wielomianów oraz poznawanie ich natury dostarcza zarówno satysfakcji, jak i nieocenionych umiejętności. Choć na początku mogą wydawać się zniechęcające, z czasem nabierają sensu, a ich odkrywanie przekształca się w przyjemność.
Proste metody rozwiązania równań trzeciego stopnia

W poniższej liście zaprezentowane zostaną kluczowe kroki, które wspierają Cię w zrozumieniu zasad rozwiązywania równań trzeciego stopnia. Koncentrujemy się tutaj na skutecznych metodach, które pozwalają na przekształcenie złożonych wyrażeń w bardziej przystępne formy, co ułatwia ich zrozumienie oraz obliczenie.
- Wyznacz pierwiastki równania: Najpierw zidentyfikuj pierwiastki równania, odnajdując wartości, które sprawiają, że wielomian przyjmuje wartość zero. Sprawdzaj różne możliwości, aby znaleźć liczby, które spełniają tę zależność. W tym kontekście pomocna będzie metoda prób i błędów oraz zastosowanie wyrazów wolnych będących dzielnikami.
- Wyłączenie wspólnego czynnika: Kiedy w równaniu zauważysz wspólny czynnik, wyłącz go przed nawias. Na przykład w równaniu \(2x^3+4x^2-3x-6=0\) dostrzegasz, że wszystkie wyrazy mają wspólny czynnik \(x\), co daje możliwość uproszczenia równania do postaci \(x(2x^2+4x-3)=0\).
- Grupowanie wyrazów: Podziel równanie na pary, aby móc z każdej z nich wyciągnąć wspólny czynnik. Na przykład w równaniu \(x^3+4x^2-5x-20=0\) zgrupuj wyrazy w formie \((x^3 + 4x^2) + (-5x - 20) = 0\) i wyłącz wspólny czynnik z każdej grupy.
- Wykorzystanie wzorów skróconego mnożenia: Następnie użyj wzorów skróconego mnożenia, aby przekształcić wyrażenie do postaci iloczynowej. Na przykład w równaniu \(x^3 - 27 = 0\) zastosuj wzór \((a-b)(a^2+ab+b^2)\) z \(a=x\) oraz \(b=3\), co umożliwia uzyskanie postaci \((x-3)(x^2 + 3x + 9) = 0\).
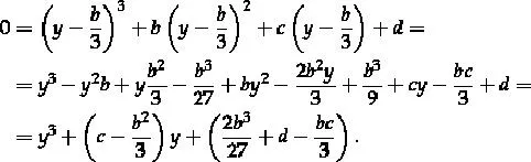
- Rozwiązywanie równań kwadratowych: Gdy zredukowałeś równanie do niższego stopnia i napotykasz równanie kwadratowe, skorzystaj z delty do wyznaczania jego pierwiastków. Na przykład dla \(x^2 + kx + m = 0\) oblicz \(\Delta\) i zastosuj odpowiednie wzory na pierwiastki.
Metody rozwiązywania równań trzeciego stopnia – przegląd i przykłady
Rozwiązywanie równań trzeciego stopnia może budzić pewne obawy, ale w rzeczywistości nie jest to tak skomplikowane, jak się to czasami wydaje. Jak już śledzisz takie zagadnienia, odkryj tajemnice różnych rodzajów równań. Równania te przyjmują postać \( ax^3 + bx^2 + cx + d = 0 \), gdzie \( a, b, c, d \) to stałe, a szczególnie zwracamy uwagę na fakt, że \( a \neq 0 \). Warto zauważyć, że w porównaniu do równań pierwszego i drugiego stopnia, równania trzeciego stopnia oferują znacznie więcej możliwości oraz pierwiastków, dlatego ich rozwiązanie może przybierać różnorodne formy. W związku z tym, przeanalizujmy kilka popularnych metod, które umożliwiają rozwiązywanie tych równań.
Pierwszym z najłatwiejszych sposobów na rozwiązanie równania trzeciego stopnia okazuje się zastosowanie metody wyłączenia wspólnego czynnika. Użycie tej metody pozwala uprościć wyrażenie, co następnie prowadzi do postaci iloczynowej. Na przykład, biorąc równanie \(x^3 - 6x^2 + 11x - 6 = 0\), możemy wyłączyć wspólny czynnik, co prowadzi nas do postaci \( (x - 1)(x^2 - 5x + 6) = 0 \). Teraz, korzystając z pierwszego nawiasu, otrzymujemy \( x = 1 \), natomiast z drugiego nawiasu, po rozwiązaniu równania kwadratowego, uzyskujemy \( x = 2 \) oraz \( x = 3 \).
Wiele metod rozwiązywania równań trzeciego stopnia dostępnych dla każdego
Inną efektywną strategią okazuje się grupowanie wyrazów, co świetnie sprawdza się w przypadku bardziej złożonych równań. W tej metodzie odseparowujemy wyrazy, a z każdej grupy wyciągamy wspólny czynnik. Na przykład, dla równania \(x^3 + 2x^2 - x - 2 = 0\), możemy zgrupować wyrazy i zapisać je w formie: \( (x^3 + 2x^2) + (-x - 2) = 0\). Dzięki temu zyskujemy możliwość wyciągnięcia wspólnego czynnika w każdej z grup, co przekłada się na stworzenie układu, który łatwo przenieść do postaci iloczynowej.

Na koniec warto podkreślić, że istnieją specjalne wzory, które znacząco ułatwiają rozwiązanie równań trzeciego stopnia. W szczególności wzory Viète'a stają się nieocenione w poszukiwaniu pierwiastków. Umożliwiają one uzyskanie cennych informacji na temat rozkładu pierwiastków, nawet gdy nie jesteśmy w stanie obliczyć ich jednoznacznie. Ostatecznie, warto pamiętać, że każda z metod ma swoje miejsce oraz zastosowanie, a ich mądre łączenie sprawia, że rozwiązanie równań trzeciego stopnia staje się wykonalnym zadaniem, a nawet może być przyjemnością!
| Metoda | Opis | Przykład | Rozwiązania |
|---|---|---|---|
| Wyrzucenie wspólnego czynnika | Uproszczenie wyrażenia prowadzące do postaci iloczynowej. | x³ - 6x² + 11x - 6 = 0 | x = 1, x = 2, x = 3 |
| Grupowanie wyrazów | Odseparowanie wyrazów i wyciągnięcie wspólnego czynnika z grup. | x³ + 2x² - x - 2 = 0 | Stworzenie układu do postaci iloczynowej (z rozwiązaniami do obliczenia). |
| Wzory Viète'a | Ułatwiają uzyskanie informacji o pierwiastkach równań. | - | - |
Ciekawostką na temat równań trzeciego stopnia jest to, że mają one zawsze co najmniej jeden pierwiastek rzeczywisty, co oznacza, że w każdej sytuacji można znaleźć przynajmniej jedno rozwiązanie w zbiorze liczb rzeczywistych.
Trudniejsze przypadki równań trzeciego i wyższego stopnia – jak sobie z nimi radzić?
W niniejszym artykule przedstawiamy metody radzenia sobie z trudniejszymi przypadkami równań trzeciego i wyższego stopnia. Każda z metod znajduje się w szczegółowym opisie, co znacząco ułatwia ich zrozumienie oraz efektywne zastosowanie w praktyce. Poniżej znajdziesz najważniejsze zalecenia oraz metody rozwiązywania tych równań.
-
Wyłączenie wspólnego czynnika przed nawias
Jedną z najczęściej stosowanych metod rozwiązywania równań wielomianowych polega na wyłączeniu wspólnego czynnika przed nawias. Rozpocznij od identyfikacji wspólnego czynnika we wszystkich wyrazach równania, co umożliwia przekształcenie go do postaci iloczynowej. Na przykład, analizując równanie \(x^5 + 3x^4 - 10x^3 = 0\), możesz wyłączyć \(x^3\), co prowadzi do postaci \(x^3(x^2 + 3x - 10) = 0\). Następnie rozwiązuj powstałe równania poprzez przyrównanie poszczególnych nawiasów do zera.
-
Grupowanie wyrazów
Ta metoda polega na dzieleniu równania na grupy, w których każda zawiera wyrazy mające wspólny czynnik. Przykładowo, w równaniu \(5x^3 + 6x^2 + 10x + 12 = 0\) możesz pogrupować wyrazy w pary: \( (5x^3 + 6x^2) + (10x + 12) \). Z każdej pary, wyłączając wspólny czynnik, uzyskujesz postać iloczynową. Jeśli po wyłączeniu otrzymasz takie same nawiasy, możesz je dalej rozwiązać.
-
Wykorzystanie wzorów skróconego mnożenia
Czasami dany wielomian przekształca się do postaci iloczynowej przy pomocy wzorów skróconego mnożenia, takich jak \(a^2 - b^2 = (a - b)(a + b)\). Przykładowo, dla równania \(4x^4 - 25 = 0\) możesz zapisać je jako \( (2x^2 - 5)(2x^2 + 5) = 0\), a następnie każdą z części przyrównaj do zera, aby znaleźć pierwiastki.
-
Równania dwukwadratowe
W przypadkach, gdy mamy do czynienia z równaniem czwartego stopnia, warto wprowadzić podstawienie \(t = x^2\) i przekształcić je w standardowe równanie kwadratowe. Dzięki temu, na przykład równanie \(x^4 - 5x^2 + 6 = 0\) można zredukować do postaci \(t^2 - 5t + 6 = 0\), które łatwo rozwiążesz, korzystając z metody delty.
Zastosowanie wzorów skróconego mnożenia w rozwiązywaniu równań wielomianowych
Wzory skróconego mnożenia stanowią niezwykle przydatne narzędzie, które ułatwia rozwiązywanie równań wielomianowych. Kiedy zajmujemy się równaniami wyższego stopnia, zastosowanie tych wzorów znakomicie upraszcza nasze obliczenia. Wykorzystując wzór na różnicę kwadratów, przekształcamy wyrażenia, co pozwala nam łatwiej znajdować pierwiastki wielomianu. Na przykład równanie w postaci \(a^2 - b^2 = (a-b)(a+b)\) natychmiast prowadzi nas do postaci iloczynowej, co znacznie przyspiesza proces rozwiązywania.
Oprócz tego wzory skróconego mnożenia okazują się przydatne w przypadkach, gdy mamy do czynienia z potęgami. Z powodzeniem możemy zastosować je do równania, które początkowo wydaje się skomplikowane, jednak jego uproszczona forma sprawia, że staje się ono łatwe do rozwiązania. Na przykład równanie \(4x^4 - 25 = 0\) realizujemy przy użyciu wzoru na różnicę kwadratów, co prowadzi nas do postaci iloczynowej i natychmiast kieruje do poszukiwań pierwiastków. Jeżeli zgłębiasz tę tematykę to sprawdź, jak uniknąć błędów w obliczeniach swojej liczby.
Wzory skróconego mnożenia ułatwiają przekształcanie równań wielomianowych

Rozpatrując inny przykład, weźmy równanie \(x^4 - 16\), które również można przekształcić za pomocą wzoru skróconego mnożenia. Dzięki temu potrafimy skutecznie radzić sobie z wielomianami, które na pierwszy rzut oka mogą wydawać się trudne do rozwiązania. W rezultacie zyskujemy możliwość przyspieszenia obliczeń i szybszego dotarcia do odpowiedzi, przekształcając dużą złożoność równań w łatwe do przetworzenia formy.
Warto zatem zauważyć, że zastosowanie wzorów skróconego mnożenia przy rozwiązywaniu równań wielomianowych nie tylko zwiększa efektywność, ale także podnosi naszą pewność siebie w radzeniu sobie z problemami matematycznymi. Obserwując, jak szybko i skutecznie osiągamy rozwiązania, odczuwamy radość z matematyki, która w wielu przypadkach, mimo swej prostoty, potrafi zaskakiwać podczas różnych wyzwań. Dlatego warto wprowadzić wzory skróconego mnożenia na stałe do naszego arsenału metod obliczeniowych.











