Kiedy myślę o eliminacji pierwiastków z równań, wciąż wracają do mnie wspomnienia z czasów szkolnych, gdy spędzałem długie godziny na rozwiązywaniu zadań matematycznych. Jak już tu trafiłeś to odkryj znaczenie pierwiastków i ich zastosowania w matematyce. To była nie tylko nauka, ale również mała przygoda! Jedną z podstawowych metod, które często stosowałem, była metoda podstawiania. Dzięki niej miałem możliwość przekształcenia jednego równania, co pozwalało mi uzyskać jedną zmienną jako funkcję drugiej. To niesamowite, jak kilka prostych kroków może prowadzić do rozwiązania, które wcześniej wydawało się nieosiągalne.
- Przygotuj równanie do odpowiedniej formy przed usunięciem pierwiastków.
- Izoluj pierwiastek po jednej stronie równania, przenosząc inne składniki.
- Podnieś obie strony równania do kwadratu, aby pozbyć się pierwiastka.
- Rozwiąż powstałe równanie algebraiczne, przenosząc składniki na jedną stronę.
- Sprawdzaj rozwiązanie, podstawiając uzyskaną wartość do oryginalnego równania.
- Zdefiniuj dziedzinę przed rozpoczęciem obliczeń, by uniknąć błędów.
- Dokładnie sprawdzaj wszystkie rozwiązania dla ich poprawności.
- Starannie zapisuj działania, unikając automatyzmu w obliczeniach.
Jeszcze innym interesującym sposobem jest metoda przeciwnych współczynników. Tutaj nudzie z pewnością nie ma miejsca! Czasami trzeba wykazać się kreatywnością, aby odpowiednio dostosować równania tak, by współczynniki przy jednej ze zmiennych zupełnie znikały. Dzięki temu uzyskuję równanie z jedną zmienną, które można bardzo łatwo rozwiązać. Zdecydowanie pamiętam, jak z ogromnym zapałem zdobywałem nowe umiejętności i czułem satysfakcję po każdym udanym rozwiązaniu.
Metoda przeciwnych współczynników stanowi interesujące podejście
Następnym sposobem, który gorąco polecam, jest metoda eliminacji Gaussa. Choć może na pierwszy rzut oka wydawać się bardziej skomplikowana niż poprzednie metody, jednak staje się niezwykle przydatna, szczególnie w obliczu równań z wieloma zmiennymi. W tej metodzie przekształcam macierz z układem równań do postaci, w której znacznie łatwiej można odczytać rozwiązania. Kiedy udało mi się opanować tę metodę, poczułem się, jakbym zdobył nowy poziom w grze!
Matematyka to sztuka rozwiązywania problemów, która uczy nas wytrwałości i kreatywności. Każda metoda ma swoje unikalne podejście, a ich mistrzostwo otwiera nowe drzwi do odkryć!
Każda z tych metod tak naprawdę ma swoje zalety i zastosowania, a ich znajomość otwiera drzwi do efektywnego rozwiązywania równań. Skoro zgłębiasz tę tematykę, odkryj ciekawostki na temat rozwiązań równań. Matematyka nie ogranicza się jedynie do liczb, lecz staje się także pewnego rodzaju sztuką, która wymaga sprytu i wytrwałości. Cieszę się, że mogłem odkryć te techniki, ponieważ każda z nich daje mi ogromną radość, gdy zbliżam się do rozwiązania. Ostatecznie eliminacja pierwiastków z równań przypomina grę, która potrafi zaskoczyć i przynieść wiele satysfakcji za każdym razem, gdy udaje się rozwiązać kolejne wyzwanie!
Jak efektywnie wyeliminować pierwiastki z równania i unikać typowych błędów

W poniższej liście znajdziesz szczegółowe kroki, które pomogą Ci skutecznie usunąć pierwiastki z równań, a także uniknąć najczęściej popełnianych błędów. Przeczytaj każdy punkt uważnie, aby lepiej zrozumieć proces i poprawić swoje umiejętności rozwiązywania równań.
- Przygotowanie równania: Zanim przystąpisz do usuwania pierwiastków, upewnij się, że równanie ma odpowiednią formę. Wszystkie terminy powinny być uporządkowane, a jeśli to możliwe, łącz podobne wyrazy. Celem jest uproszczenie równania do najczytelniejszej postaci, co znacznie ułatwia dalsze operacje matematyczne.
- Izolacja pierwiastka: Koncentruj się na izolowaniu pierwiastka po jednej stronie równania. Jeśli pierwiastek wchodzi w skład bardziej skomplikowanego wyrażenia, spróbuj przenieść wszystkie inne składniki na drugą stronę, wykorzystując odwrotne działania. Na przykład, gdy równanie przedstawia się jako √(x + 3) = 5, przenieś 3, by otrzymać √(x + 3) = 5, a następnie wykonaj dodawanie i odejmowanie.
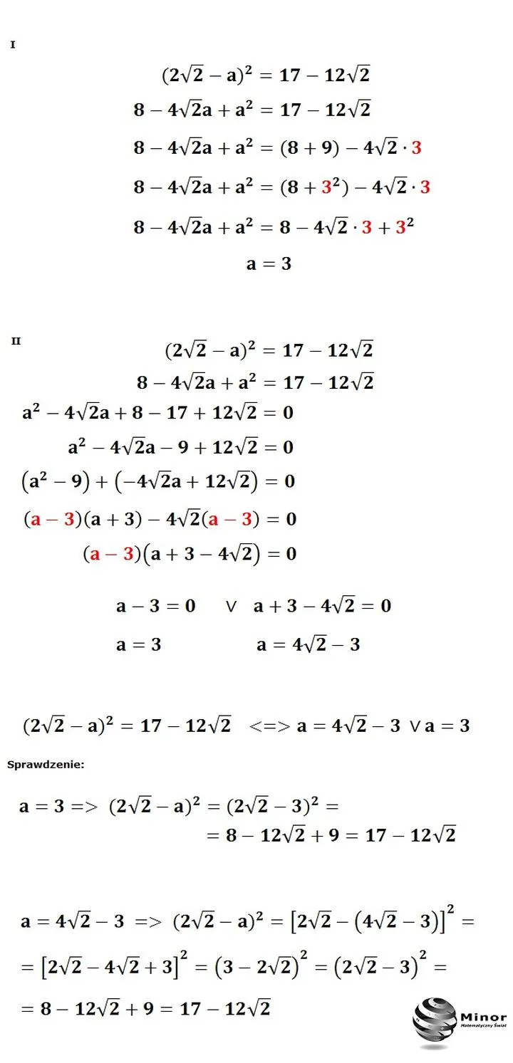
- Podnoszenie do kwadratu: Gdy pierwiastek znajdzie się w odpowiedniej izolacji, podnieś obie strony równania do kwadratu. Pamiętaj, że wykonując tę operację, musisz ocenić obie strony równania, aby nie naruszyć jego równowagi. Na przykład, jeżeli masz √(x + 3) = 5, po podniesieniu do kwadratu dostajesz x + 3 = 25.
- Rozwiązanie równania: Po podniesieniu do kwadratu przystąp do rozwiązania powstałego równania algebraicznego. W naszym przykładzie kontynuuj, odejmując 3, co daje wynik x = 22. Pamiętaj, żeby przenosić wszystkie składniki na jedną stronę i wyznaczać nieznaną zmienną.
- Sprawdzanie rozwiązania: Po uzyskaniu rozwiązania zawsze sprawdzaj je, podstawiając z powrotem do oryginalnego równania. Istnieje możliwość, że rozwiązanie wpływa na dziedzinę pierwiastka, co prowadzić może do błędów. Upewnij się, że podstawienie przynosi wynik prawdziwy i mieści się w dziedzinie definicji.
Najczęstsze błędy podczas usuwania pierwiastków i jak ich unikać
Usuwanie pierwiastków, czyli rozwiązywanie równań z pierwiastkami, często powoduje trudności. Wiele osób, z którymi rozmawiam, popełnia te same błędy. Na przykład, wiele razy zdarza się, że pomijają konieczność sprawdzenia warunków, które muszą spełniać pierwiastki w danym równaniu. Zawsze, gdy mamy do czynienia z równaniem zawierającym pierwiastek, warto na początku zwrócić szczególną uwagę na to, co może wydarzyć się, gdy dane liczby osiągną wartość ujemną. Przede wszystkim pamiętaj, aby odpowiednio zdefiniować dziedzinę przed przystąpieniem do dalszych obliczeń.
Sprawdzanie warunków jako kluczowy krok
Podobnie, inny częsty błąd polega na pominięciu sprawdzenia rozwiązania po dokonaniu obliczeń. Wiele osób, w moim doświadczeniu, zadowala się pierwszym wynikiem i nie zastanawia się, czy rzeczywiście spełnia ono pierwotne równanie. Jeśli interesuje cię ta tematyka to odkryj fascynujące wartości parametru m w równaniu. Właściwe podejście do wartości zwracanych przez pierwiastki stanowi fundamentalny element! Nawet jeśli wszystkie kroki wykonuje się poprawnie, warto na koniec włożyć uzyskane wyniki z powrotem do równania, aby mieć pewność, że osiągnęliśmy zamierzony cel. Bez tego sprawdzenia łatwo można dać się zwieść błędnym rozwiązaniom.
Poprawne rozwiązanie równań z pierwiastkami wymaga nie tylko umiejętności matematycznych, ale także cierpliwości i dokładności. Każdy krok ma znaczenie, a weryfikacja wyniku może zapobiec poważnym błędom.
Niezbędność weryfikacji wyników
Kolejnym mitom, z którymi się spotkałem w kontekście usuwania pierwiastków, jest przekonanie, że można to robić automatycznie i bez zastanowienia. Warto pamiętać, aby nie dać się zwieść łatwością, z jaką wykonuje się te obliczenia! W praktyce istotne okazuje się pisanie działań na kartce lub w zeszycie, a także systematyczne myślenie o każdym kroku. Zbyt szybkie podejście prowadzi często do różnych nieporozumień, co w rezultacie skutkuje błędami oraz mylnymi rozwiązaniami. Dlatego lepiej jest poświęcić chwilę więcej na przemyślenie, niż później błądzić w gąszczu błędnych wyników.
Poniżej przedstawiam kilka kluczowych zasad, które warto mieć na uwadze podczas rozwiązywania równań z pierwiastkami:
- Zdefiniowanie dziedziny przed rozpoczęciem obliczeń.
- Dokładne sprawdzenie wszystkich rozwiązań, aby potwierdzić ich poprawność.
- Staranność w pisaniu działań oraz unikanie automatycznego podejścia.
- Szybkie powracanie do pierwotnego równania w celu weryfikacji wyników.
Rola przekształceń algebraicznych w rozwiązywaniu równań z pierwiastkami
Przekształcenia algebraiczne stanowią jedno z tych magicznych narzędzi, które potrafią całkowicie odmienić nasze podejście do równań z pierwiastkami. Kiedy napotykam takie równanie, odczuwam zazwyczaj lekki niepokój. Niemniej jednak, wystarczy, że sięgnę po techniki przekształceń algebraicznych, a wszystko staje się znacznie bardziej zrozumiałe. Te techniki umożliwiają uproszczenie problemu, pozbycie się pierwiastków oraz zredukowanie go do bardziej przystępnej formy. Dzięki nim zyskuję pewność, że nie zgubię istotnych rozwiązań podczas obliczeń.
Co więcej, w miarę jak zaczynam eksperymentować z przekształceniami, dostrzegam, że zyskuję zupełnie nową perspektywę na zadania. Na przykład, kiedy redukuję pierwiastki przez podnoszenie obu stron równania do kwadratu, zmieniam trudne wyrażenia w prostsze formy. Wówczas cała sytuacja nie wydaje się już taka przerażająca! Dodatkowo, przekonuję się, że wiele równań zaczyna prezentować swoje mniej oczywiste, a jednocześnie bardzo ważne powiązania, co sprawia, że cała zabawa staje się jeszcze bardziej interesująca.
Przekształcenia algebraiczne ułatwiają pracę z równaniami z pierwiastkami

Gdy myślę o przekształceniach, zawsze nasuwa mi się ich uniwersalność. Niezależnie od tego, czy analizuję równania kwadratowe, czy bardziej zaawansowane, zawsze znajdę sposób na uproszczenie danej sytuacji. Te techniki umacniają moją wiarę w zasady matematyczne, które mają sens, gdy tylko potrafię je właściwie zastosować. Dzięki tej elastyczności potrafię odnajdywać rozwiązania, które z pozoru zdają się niemal niemożliwe do osiągnięcia. I właśnie to czyni matematykę tak ekscytującą!
Ciekawostką jest to, że przekształcenia algebraiczne, takie jak podnoszenie obu stron równania do kwadratu, mogą wprowadzać dodatkowe rozwiązania, które nie były pierwotnie rozwiązaniami danego równania. Dlatego kluczowe jest, aby po uzyskaniu odpowiedzi sprawdzić je w oryginalnym równaniu!
Przykłady równań z pierwiastkami i skuteczne strategie ich rozwiązywania
Rozwiązywanie równań z pierwiastkami stawia przed wieloma z nas prawdziwe wyzwanie. Pamiętam swoją pierwszą konfrontację z takim równaniem, kiedy to musiałem zmierzyć się z czymś w stylu "sqrt(x + 3) = 5". To zdarzenie przypominało mi poszukiwanie drogi w labiryncie bez mapy. Jednak, podobnie jak w wielu dziedzinach, z czasem nabyłem wprawy i odkryłem kilka sprawdzonych metod, które znacząco ułatwiają ten proces.

Eliminacja pierwiastków stanowi kluczowy krok w rozwiązywaniu takich równań. W przypadku wspomnianego równania, pierwszym działaniem, które warto podjąć, jest podniesienie obu stron do kwadratu. W ten sposób pozbywamy się pierwiastka, co prowadzi nas do równania x + 3 = 25, które już brzmi dużo bardziej przyjaźnie. Następnie wystarczy przekształcić równanie do postaci x = 22. Zauważyłem, że zawsze stosując tę metodę, potrafię obniżyć poziom stresu związany z bardziej skomplikowanymi przykładami.
Eliminacja pierwiastków to kluczowy krok w rozwiązywaniu równań
Uważne śledzenie rozwiązań oraz ich weryfikacja stanowią kolejny istotny aspekt. Niezależnie od tego, jak łatwo można odnaleźć wartość x, zawsze zachęcam, aby podstawić ją z powrotem do pierwotnego równania. Pozostając przy temacie, zapoznaj się z prostymi metodami liczenia równań i uniknij pułapek. Dzięki temu zyskuję pewność, że podczas obliczeń nie popełniłem żadnego błędu. Czasami pośpiech w trakcie wykonywania działań prowadzi do nieścisłości i fałszywych odpowiedzi. Dlatego takie podejście znacząco zwiększa moją pewność, że końcowy wynik jest prawidłowy. Z równań z pierwiastkami można stworzyć zupełnie przystępny temat, jeśli jedynie uwzględnimy te proste strategie.
Poniżej przedstawiam kilka kluczowych punktów dotyczących weryfikacji rozwiązań równań:
- Podstawienie uzyskanej wartości x z powrotem do pierwotnego równania.
- Sprawdzenie, czy obie strony równania są równe po podstawieniu.
- Upewnienie się, że nie pojawiły się błędy obliczeniowe podczas rozwiązywania.
| Etap | Opis |
|---|---|
| 1 | Podnieś obie strony równania do kwadratu, aby pozbyć się pierwiastka. |
| 2 | Rozwiąż równanie po eliminacji pierwiastków. |
| 3 | Podstaw uzyskaną wartość x z powrotem do pierwotnego równania. |
| 4 | Sprawdź, czy obie strony równania są równe po podstawieniu. |
| 5 | Upewnij się, że nie popełniłeś błędów obliczeniowych podczas rozwiązywania. |
Ciekawostką jest, że pierwiastki w równaniach pojawiają się nie tylko w zadaniach matematycznych, ale także w wielu realnych zastosowaniach, takich jak fizyka czy inżynieria, gdzie mogą modelować zjawiska takie jak prędkość, przyspieszenie czy energia – a ich zrozumienie i umiejętność rozwiązywania równań z pierwiastkami jest niezbędna do skutecznej analizy problemów.
Pytania i odpowiedzi
Jakie są podstawowe metody eliminacji pierwiastków z równań?Podstawowe metody eliminacji pierwiastków obejmują metodę podstawiania, metodę przeciwnych współczynników oraz metodę eliminacji Gaussa. Każda z tych technik ma swoje unikalne zalety i zastosowania, co czyni ich znajomość niezbędną do efektywnego rozwiązywania równań.
Co należy zrobić przed przystąpieniem do usuwania pierwiastków z równania?Przed przystąpieniem do usuwania pierwiastków, należy upewnić się, że równanie jest w odpowiedniej formie. Ważne jest, aby wszystkie terminy były uporządkowane, a podobne wyrazy połączone, co ułatwi dalsze operacje.
Jaką rolę odgrywa podnoszenie do kwadratu przy eliminacji pierwiastków?Podnoszenie obu stron równania do kwadratu jest kluczowym krokiem w procesie eliminacji pierwiastków. Pozwala to na pozbycie się pierwiastka i przekształcenie równania do bardziej przyjaznej formy, co ułatwia dalsze obliczenia.
Dlaczego ważne jest sprawdzanie rozwiązania po jego obliczeniu?Sprawdzanie rozwiązania jest istotne, aby upewnić się, że uzyskane wyniki spełniają oryginalne równanie. Niezgodności mogą wynikać z błędów w obliczeniach lub naruszenia dziedziny pierwiastka, co podkreśla znaczenie weryfikacji.
Jakie są najczęstsze błędy popełniane podczas eliminacji pierwiastków i jak ich unikać?Najczęstsze błędy to pomijanie sprawdzenia warunków, które muszą spełniać pierwiastki, oraz brak weryfikacji rozwiązania po obliczeniach. Aby ich uniknąć, warto dokładnie zdefiniować dziedzinę przed rozpoczęciem obliczeń oraz systematycznie sprawdzać wszystkie uzyskane wyniki.











